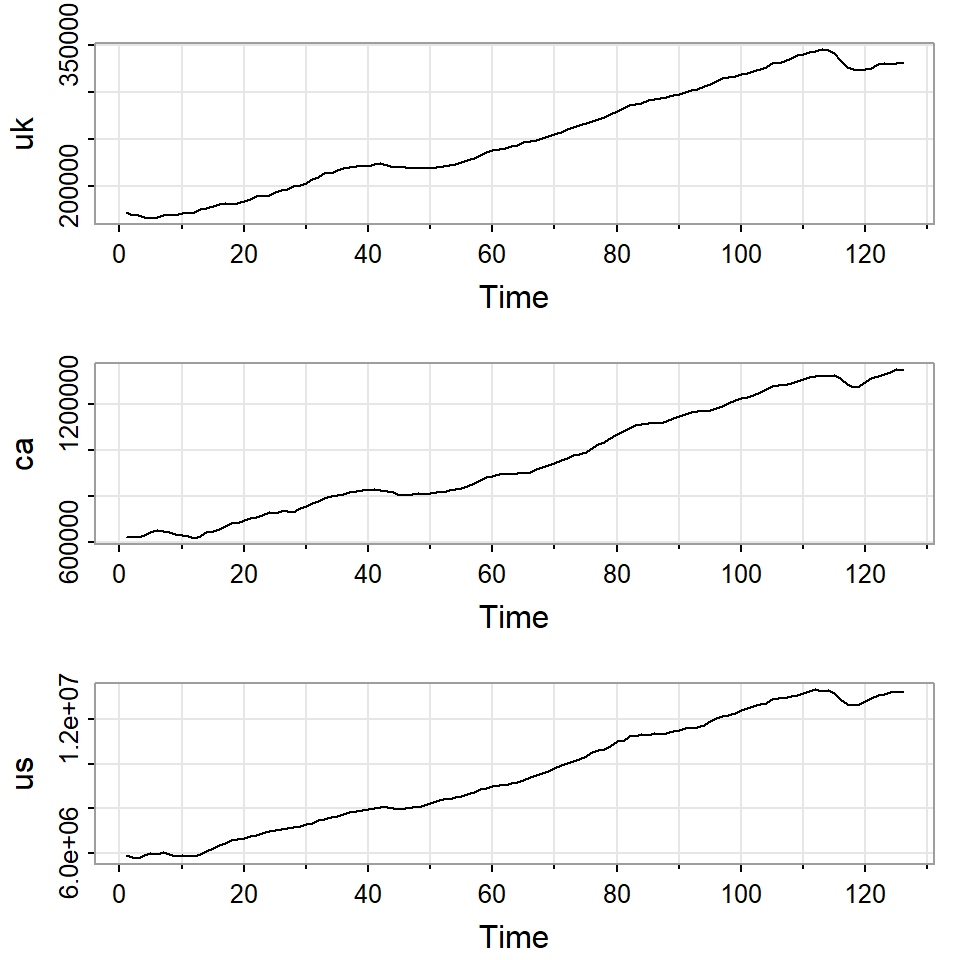
year mon uk ca us
1 1980 1 172436 624794 5908500
2 1980 4 169359 623433 5787400
3 1980 7 169038 623215 5776600
4 1980 10 167180 630215 5883500
5 1981 1 166052 645957 6005700
6 1981 4 166393 651954 5957800
Contenido
VARMA(p,q)
VAR(p)
Causalidad de Granger
Invertibilidad
Estacionariedad
Estimación, selección de modelos y diagnósticos
VMA(q)
\[X_{t}=\phi_0+ \sum_{i=1}^p \phi_i X_{t-i} - \sum_{j=1}^q \theta_j {a}_{t-j} +a_{t}\] con \(\phi_p, \theta_q \neq 0\) y \(\Sigma_w\) definida positiva.
Si este modelo es estacionario: \[X_t-\sum_{j=1}^p \phi_j X_{t-j}=\phi_0- \sum_{j=1}^q \theta_j {a}_{t-j} +a_t\]
Aplicamos la esperanza en ambos lados, se obtiene: \(\mu- \sum\limits_{j=1}^p \phi_j \mu=\phi_0\)
Sustituimos \(\phi_0\) en la ecuación anterior
\[X_t-\sum_{j=1}^p \phi_j X_{t-j}=\mu- \sum_{j=1}^p \phi_j \mu - \sum_{j=1}^q \theta_j {a}_{t-j} +a_t\] \[\Rightarrow (X_t-\mu)-\sum_{j=1}^p \phi_j (X_{t-j}-\mu)=- \sum_{j=1}^q \theta_j {a}_{t-j} +a_t\]
\[(X_t-\mu)-\sum_{j=1}^p \phi_j (X_{t-j}-\mu)=- \sum_{j=1}^q \theta_j {a}_{t-j} +a_t\]
o bien,
\[\tilde{X_t}-\sum_{j=1}^p \phi_j \tilde{X}_{t-j}= a_t - \sum_{j=1}^q \theta_j {a}_{t-j}\] donde \(\tilde{X_t}=X_t-\mu\).
Entonces, si un VARMA es estacionario se puede expresar su versión centrada, o bien sin pérdida de generalidad suponer que \(\phi_0=0\).
Además, su representación es similar al caso univariado
\[\phi(B) X_{t}= \theta(B) a_{t}\] en donde
\(\phi(B)=I- \phi_1 B-...- \phi_p B^p\) es el operador autorregresivo y
\(\theta(B)=I-\theta_1 B-...- \theta_q B^q\) es el operador de medias móviles.
Contenido
VARMA(p,q)
VAR(p)
Causalidad de Granger
Invertibilidad
Estacionariedad
Estimación, selección de modelos y diagnósticos
VMA(q)
El modelo VAR(p): \[X_{t}=\phi_0+\phi_1 X_{t-1}+...+\phi_pX_{t-p}+a_{t}\] donde \(\phi_0\) es un vector de dimensión \(k\), \(\phi_i\) matrices \(k \times k\) para \(i=1,...,p\), \(\phi_p \neq 0\) y \(a_t\) es una secuencia de i.i.d. vectores aleatorios con media 0 y matriz de covariancias \(\Sigma_a\), que es definida positiva.
Su representación con el operador autorregresivo. \[\phi(B) X_{t}=\phi_0+a_{t}\] donde \(\phi(B)=I_k- \phi_1 B-...- \phi_p B^p\) es el operador autorregresivo.
De la misma forma, se puede considerar su versión centrada (si es estacionario): \[\phi(B) \tilde{X}_{t}= a_{t}\]
\[X_{t}=\phi_0+\phi_1 X_{t-1} + a_{t}\]
\[\begin{bmatrix}X_{1,t}\\ X_{2,t} \end{bmatrix} =\begin{bmatrix}\phi_{10}\\ \phi_{20} \end{bmatrix} + \begin{bmatrix}\phi_{1,11} & \phi_{1,12} \\ \phi_{1,21} & \phi_{1,22} \end{bmatrix} \begin{bmatrix}X_{1,t-1}\\ X_{2,t-1} \end{bmatrix} +\begin{bmatrix}a_{1,t}\\ a_{2,t} \end{bmatrix}\]
\[X_{1,t}=\phi_{10}+\phi_{1,11}X_{1,t-1}+\phi_{1,12}X_{2,t-1}+a_{1,t}\]
\[X_{2,t}=\phi_{20}+\phi_{1,21}X_{1,t-1}+\phi_{1,22}X_{2,t-1}+a_{2,t}\]
\[\begin{bmatrix}X_{1,t}\\ X_{2,t} \end{bmatrix} =\begin{bmatrix}\phi_{10}\\ \phi_{20} \end{bmatrix} + \begin{bmatrix}\phi_{1,11} & 0 \\ 0 & \phi_{1,22} \end{bmatrix} \begin{bmatrix}X_{1,t-1}\\ X_{2,t-1} \end{bmatrix} +\begin{bmatrix}a_{1,t}\\ a_{2,t} \end{bmatrix}.\]
\[X_{t,1}=\phi_{10}+\phi_{1,11}X_{1,t-1}+a_{t,1}\]
\[X_{t,2}=\phi_{20}+\phi_{1,22}X_{2,t-1}+a_{t,2}\]
\[\begin{bmatrix}X_{1,t}\\ X_{2,t} \end{bmatrix} =\begin{bmatrix}\phi_{10}\\ \phi_{20} \end{bmatrix} + \begin{bmatrix}\phi_{1,11} & 0 \\ \phi_{1,21} & \phi_{1,22} \end{bmatrix} \begin{bmatrix}X_{1,t-1}\\ X_{2,t-1} \end{bmatrix} +\begin{bmatrix}a_{1,t}\\ a_{2,t} \end{bmatrix}\]
\[\begin{align} X_{1,t}=\phi_{10}+\phi_{1,11}X_{1,t-1}+a_{1,t} \\ X_{2,t}=\phi_{20}+\phi_{1,21}X_{1,t-1}+\phi_{1,22}X_{2,t-1}+a_{2,t} \end{align}\]
Tenemos que \(X_{1,t}\) no depende de los valores pasados de \(X_{2,t}\), pero \(X_{2,t}\) depende de los valores pasados de \(X_{1,t}\). Se dice que \(X_{1,t}\) y \(X_{2,t}\) tienen una relación de función de transferencia.
En econometría, se dice que \(X_{t,1}\) causa a \(X_{t,2}\) en el sentido de Granger, pero inversamente no: \(X_{t,2}\) no causa a \(X_{t,1}\) en el sentido de Granger.
Contenido
VARMA(p,q)
VAR(p)
Causalidad de Granger
Invertibilidad
Estacionariedad
Estimación, selección de modelos y diagnósticos
VMA(q)
\[Var\left(e_{2,t+h}|F_{t}\right)< Var\left(e_{2,t+h}|F_{-1,t}\right)\]
\[\begin{bmatrix}X_{1,t}\\ X_{2,t} \end{bmatrix} =\begin{bmatrix}\phi_{10}\\ \phi_{20} \end{bmatrix} + \begin{bmatrix}\phi_{1,11} & 0 \\ \phi_{1,21} & \phi_{1,22} \end{bmatrix} \begin{bmatrix}X_{1,t-1}\\ X_{2,t-1} \end{bmatrix} +\begin{bmatrix}a_{1,t}\\ a_{2,t} \end{bmatrix}\]
Recuerden que \(\Sigma_a\) no necesariamente es una matriz diagonal.
Si \(\Sigma_a\) no es una matriz diagonal, se dice que \(X_{1,t}\) y \(X_{2,t}\) tienen causalidad instantánea en sentido de Granger.
Contenido
VARMA(p,q)
VAR(p)
Causalidad de Granger
Invertibilidad
Estacionariedad
Estimación, selección de modelos y diagnósticos
VMA(q)
\[X_t=c+a_t+\sum_{j=0}^\infty \pi_j X_{t-j}\]
Contenido
VARMA(p,q)
VAR(p)
Causalidad de Granger
Invertibilidad
Estacionariedad
Estimación, selección de modelos y diagnósticos
VMA(q)
Empezamos con un VAR(1):
Sin pérdida de generalidad, suponga que \(\phi_0=0\),
\[\begin{eqnarray}X_t &=& \phi_1 X_{t-1}+a_t\\ &=& \phi_1 (\phi_1 X_{t-2}+a_{t-1})+a_t \\ &=& \phi_1^2 X_{t-2}+\phi_1 a_{t-1}+a_t \\ &=& \phi_1^3 X_{t-3}+ \phi_1^2 a_{t-2}+\phi_1 a_{t-1}+a_t \\ &=& \vdots \\ &=& \phi_1^J X_{t-J}+ \sum_{j=0}^{J-1} \phi_1^j a_{t-j} \end{eqnarray}\]
La condición de \(\phi_1^{J}\rightarrow 0\) cuando \(J \rightarrow \infty\) significa que todos los autovalores de \(\lambda_i\) de la matriz \(\phi_1\) satisfacen la condición de que \(\lambda_i^{J}\rightarrow 0\) cuando \(J \rightarrow \infty\).
Y esto significa que el valor absoluto de todos los autovalores \(\lambda_i\) de \(\phi_1\) es menor a 1.
Recordemos que para la matriz \(\phi_1\), sus autovalores son las soluciones de la ecuación: \[|\lambda I_k - \phi_1|=0.\]
y es posible reescribir la condición \[\lambda^k \left|I_k - \phi_1\frac{1}{\lambda}\right|=0.\]
Es decir, \(\left|I_k - \phi_1 x\right|=0\) donde \(x=1/\lambda\). Los autovalores de \(\phi_1\) son inversos de la solución de esta ecuación.
Como consecuencia, la condición necesaria y suficiente de la estacionariedad de un VAR(1) es que las soluciones de la ecuación \(\left|I_k - \phi_1 x\right|=0\) tengan valor absoluto mayor a 1.
Es decir, la condición de estacionariedad de un VAR(1) es que las soluciones de \(|\phi(B)|=0\) estén fuera del círculo unitario.
El modelo VAR(p): \[X_{t}=\phi_0+\phi_1 X_{t-1}+...+\phi_pX_{t-p}+a_{t}\] donde \(\phi_0\) es un vector de dimensión \(k\), \(\phi_i\) matrices \(k \times k\) para \(i=1,...,p\), \(\phi_p \neq 0\) y \(a_t\) es una secuencia de i.i.d. vectores aleatorios con media 0 y matriz de covariancias \(\Sigma_a\), que es definida positiva.
De la misma forma, se puede considerar su versión centrada (si es estacionario): \[\phi(B) \tilde{X}_{t}= a_{t}\]
donde \(\phi(B)=I_k- \phi_1 B-...- \phi_p B^p\) es el operador autorregresivo, y \(\tilde{X}_{t}={X}_{t}-\mu_X\).
Sin pérdida de generalidad, asuma \(\phi_0=0\). Defina \(\boldsymbol{X}_t=\left(X_t',X_{t-1}',...,X_{t-p+1}' \right)'\) una serie temporal \(pk-\)dimensional.
El modelo VAR(p) se puede escribir como: \[\boldsymbol{X}_t=\Phi \boldsymbol{X}_{t-1}+\boldsymbol{b}_t,\] donde \[\underset{(kp \times 1)}{\boldsymbol{X}_{t}}= \begin{bmatrix}X_{t}\\ \vdots \\ X_{t-p+1} \end{bmatrix},~~~\underset{(kp \times kp)}{\Phi}=\begin{bmatrix}\phi_{1} & \phi_2 & ... & \phi_{p-1} & \phi_{p} \\ I & 0 & ... & 0 & 0 \\ 0 & I & ... & 0 & 0\\ \vdots & \vdots & \ddots & \vdots & \vdots \\ 0 & 0 & ... & I & 0 \end{bmatrix}~,~~~ \underset{(kp \times 1)}{\boldsymbol{b}_{t}}= \begin{bmatrix}a_{t}\\ 0 \\ \vdots\\ 0 \end{bmatrix}\]
La matrix \(\Phi\) es conocida como la matriz compañera del polinomio autorregresivo \(\phi(B)\).
Como consecuencia de que \(\boldsymbol{X}_t\) es VAR(1), la condición de estacionariedad es VAR(1) es que las soluciones de la ecuación \(\left|I_{kp} - \Phi B\right|=0\) tengan valor absoluto mayor a 1.
Utilizando resultados de matrices en bloques, se puede concluir que la condición de estacionariedad de VAR(p) es que todas las soluciones de \(\left|I_{kp} - \Phi B\right|=|\phi(B)|=0\) estén fuera del círculo unitario.
Contenido
VARMA(p,q)
VAR(p)
Causalidad de Granger
Invertibilidad
Estacionariedad
Estimación, selección de modelos y diagnósticos
VMA(q)
\[\left. \begin{eqnarray}L\left(X_{(p+1):T}|X_{1:p},\beta,\Sigma_a \right) &=& \prod_{t=p+1}^T p \left( X_{t} |X_{1:(t-1)},\beta,\Sigma_a\right)\\ &=& \prod_{t=p+1}^T p \left( a_{t} |X_{1:(t-1)},\beta,\Sigma_a\right) \\ &=& \prod_{t=p+1}^T \frac{1}{(2\pi)^{k/2}|\Sigma_a|^{1/2}} \exp\left[ \frac{-1}{2}a_t'\Sigma_a^{-1} a_t \right] \\ &\propto& |\Sigma_a|^{-(T-p)/2} \exp\left[ \frac{-1}{2} \sum_{t=p+1}^{T} tr(a_t'\Sigma_a^{-1} a_t) \right] \end{eqnarray}\right.\]
donde \(c\) es una constante que no influye en el proceso de optimización.
Se puede reescribir la función de log-verosimlitud como: \[\ell \left(\beta,\Sigma_a \right) = c- \frac{T-p}{2} \log|\Sigma_a| -\frac{1}{2} S(\beta)\] donde \(S(\beta)\) es la cantidad a minimizar del método de mínimos cuadrados.
No vamos a entrar a los detalles de la distribución muestral de los estimadores.
\[r_t=\frac{X_t-X_{t-1}}{X_{t-1}}\]
\[X_t=(1+r_t)X_{t-1}\] \[\Rightarrow \ln X_t=\ln (1+r_t)+ \ln X_{t-1}\] \[\Rightarrow \nabla \ln X_t = \ln X_t - \ln X_{t-1}=\ln (1+r_t) \approx r_t,\] si \(r_t\) son cambios porcentuales pequeños.
Nota
\[f(x) \approx f(a) + f'(a) (x-a) + \frac{f''(a)}{2!}(x-a)^2 + ...+ \frac{f^{(n)}(a)}{n!}(x-a)^n\]
Constant term:
Estimates: 0.1713324 0.1182869 0.2785892
Std.Error: 0.06790162 0.07193106 0.07877173
AR coefficient matrix
AR( 1 )-matrix
[,1] [,2] [,3]
[1,] 0.434 0.189 0.0373
[2,] 0.185 0.245 0.3917
[3,] 0.322 0.182 0.1674
standard error
[,1] [,2] [,3]
[1,] 0.0811 0.0827 0.0872
[2,] 0.0859 0.0877 0.0923
[3,] 0.0940 0.0960 0.1011
Residuals cov-mtx:
[,1] [,2] [,3]
[1,] 0.28933472 0.01965508 0.06619853
[2,] 0.01965508 0.32469319 0.16862723
[3,] 0.06619853 0.16862723 0.38938665
det(SSE) = 0.02721916
AIC = -3.459834
BIC = -3.256196
HQ = -3.377107
El modelo estimado es:
\[\begin{bmatrix}X_{1t}\\ X_{2t}\\ X_{3t} \end{bmatrix} =\begin{bmatrix}0.17\\ 0.12 \\ 0.28 \end{bmatrix} + \begin{bmatrix}0.43 & 0.19 &0.04 \\ 0.19 & 0.25 & 0.39 \\ 0.32 & 0.18 & 0.17 \end{bmatrix} \begin{bmatrix}X_{1,t-1}\\ X_{2,t-1} \\ X_{3,t-1} \end{bmatrix} +\begin{bmatrix}a_{1t}\\ a_{2t} \\ a_{3t} \end{bmatrix}\]
\[\text{donde}~~a_t \sim N\left(0, \hat{\Sigma}_a \right), ~\text{con}~ \hat{\Sigma}_a=\begin{bmatrix} 0.29 & 0.02 & 0.07 \\ 0.02 & 0.32 & 0.17 \\ 0.07 & 0.17 & 0.39 \end{bmatrix}\]
¿Cómo se selecciona el orden de un VAR?
La idea básica es comparar un VAR(p) con un VAR(p-1).
Formalmente, se plantean: \(H_0:\phi_p=0\) contra \(H_1:\phi_p \neq 0\)
Sea \(\boldsymbol{\beta}=\left[\phi_0,\phi_1,...,\phi_p \right]\) el conjunto de las matrices de coeficientes de un VAR(p), y \(\Sigma_{a,p}\) la matriz de covariancias de las inovaciones del modelo.
Bajo el supuesto de normalidad, la razón de verosimilitud es dada por
\[\Delta= \frac{\max L(\beta_{p-1},\Sigma_a)}{\max L(\beta_{p},\Sigma_a)}= \left( \frac{|\hat{\Sigma}_{a,p}|}{|\hat{\Sigma}_{a,p-1}|} \right)^{(T-p)/2}\]
\[M(p)= -(T-p-0.5-kp) \ln \left( \frac{|\hat{\Sigma}_{a,p}|}{|\hat{\Sigma}_{a,p-1}|} \right)\]
Bajo el supuesto de que \(H_0\) sea cierta, \(M(p) \sim \chi^2_{k^2}\).
En la práctica, se preselecciona un rezago \(L\) grande y se realiza secuencialmente probando \(p=0,...,L\).
\[AIC(p)= \log |\tilde{\Sigma}_{a,p}|+\frac{2}{T}pk^2\] \[SC(p)=BIC(p)= \log |\tilde{\Sigma}_{a,p}|+\frac{\log(T)}{T}pk^2\]
\[HQ(p)= \log |\tilde{\Sigma}_{a,p}|+\frac{2\log(\log(T))}{T}pk^2\]
donde \(p\) es el orden de rezago, \(\tilde{\Sigma}_{a,p}\) es la estimación de \(\tilde{\Sigma}_{a*}\) de acuerdo al VAR(p).
selected order: aic = 2
selected order: bic = 1
selected order: hq = 2
Summary table:
p AIC BIC HQ M(p) p-value
[1,] 0 -3.3539 -3.3539 -3.3539 0.0000 0.0000
[2,] 1 -4.2694 -4.0657 -4.1866 111.7707 0.0000
[3,] 2 -4.3531 -3.9458 -4.1877 23.3444 0.0055
[4,] 3 -4.3094 -3.6985 -4.0612 9.9783 0.3522
[5,] 4 -4.2785 -3.4639 -3.9476 10.9118 0.2818
[6,] 5 -4.1655 -3.1473 -3.7518 2.8963 0.9683
[7,] 6 -4.0750 -2.8531 -3.5786 4.8423 0.8478
[8,] 7 -3.9830 -2.5576 -3.4039 4.5561 0.8712
[9,] 8 -4.1184 -2.4893 -3.4566 23.6080 0.0050
[10,] 9 -4.0474 -2.2146 -3.3028 5.9445 0.7455
[11,] 10 -3.9706 -1.9342 -3.1433 5.2766 0.8096
[12,] 11 -3.9850 -1.7450 -3.0750 11.9593 0.2156
[13,] 12 -4.0317 -1.5881 -3.0390 13.8308 0.1285
[14,] 13 -4.0535 -1.4062 -2.9780 11.5191 0.2418
[15,] 14 -4.1048 -1.2538 -2.9466 12.9867 0.1632
[16,] 15 -4.3520 -1.2974 -3.1111 24.8411 0.0032
Denote \(R_j\) como la matriz de correlaciones de \(j\) rezago de los residuales. Se plantean las hipótesis:
\(H_0: R_1=\cdots=R_m=0\)
\(H_1: R_j \neq 0\), para algún \(1\leq j \leq m\)
Recuerden que el estadístico de Portmanteau multivariado es la versión multivariada de la prueba de Ljung-Box. \[Q_m=T^2 \sum_{l=1}^m \frac{1}{T-l} tr \left(\hat{R}'_l\hat{R}^{-1}_0\hat{R}_l\hat{R}^{-1}_0\right)\]
Bajo el supuesto de \(H_0\),i.e. \(R_l=0,~ l>0\), y \(X_t\) es distribuída normalmente, para \(T\) y \(m\) suficientemente grandes, el estadístico se aproxima a la distribución \(\chi^2_{mk^2}\).
Para el caso de un VAR(p) se deben corregir los grados de libertad. Note que \(\chi^2_{(m-p)k^2} = \chi^2_{mk^2-pk^2}\) [El valor de corrección es \(pk^2\)].
Constant term:
Estimates: 0.1713324 0.1182869 0.2785892
Std.Error: 0.06790162 0.07193106 0.07877173
AR coefficient matrix
AR( 1 )-matrix
[,1] [,2] [,3]
[1,] 0.434 0.189 0.0373
[2,] 0.185 0.245 0.3917
[3,] 0.322 0.182 0.1674
standard error
[,1] [,2] [,3]
[1,] 0.0811 0.0827 0.0872
[2,] 0.0859 0.0877 0.0923
[3,] 0.0940 0.0960 0.1011
Residuals cov-mtx:
[,1] [,2] [,3]
[1,] 0.28933472 0.01965508 0.06619853
[2,] 0.01965508 0.32469319 0.16862723
[3,] 0.06619853 0.16862723 0.38938665
det(SSE) = 0.02721916
AIC = -3.459834
BIC = -3.256196
HQ = -3.377107
Ljung-Box Statistics:
m Q(m) df p-value
[1,] 1.00 9.66 0.00 1.00
[2,] 2.00 17.53 9.00 0.04
[3,] 3.00 26.88 18.00 0.08
[4,] 4.00 45.07 27.00 0.02
[5,] 5.00 52.91 36.00 0.03
[6,] 6.00 58.52 45.00 0.09
[7,] 7.00 66.50 54.00 0.12
[8,] 8.00 81.90 63.00 0.06
[9,] 9.00 92.83 72.00 0.05
[10,] 10.00 103.90 81.00 0.04
[11,] 11.00 107.82 90.00 0.10
[12,] 12.00 119.23 99.00 0.08
[13,] 13.00 132.59 108.00 0.05
[14,] 14.00 142.52 117.00 0.05
[15,] 15.00 153.51 126.00 0.05
[16,] 16.00 158.83 135.00 0.08
[17,] 17.00 165.14 144.00 0.11
[18,] 18.00 171.03 153.00 0.15

Constant term:
Estimates: 0.1258163 0.1231581 0.2895581
Std.Error: 0.07266338 0.07382941 0.0816888
AR coefficient matrix
AR( 1 )-matrix
[,1] [,2] [,3]
[1,] 0.393 0.103 0.0521
[2,] 0.351 0.338 0.4691
[3,] 0.491 0.240 0.2356
standard error
[,1] [,2] [,3]
[1,] 0.0934 0.0984 0.0911
[2,] 0.0949 0.1000 0.0926
[3,] 0.1050 0.1106 0.1024
AR( 2 )-matrix
[,1] [,2] [,3]
[1,] 0.0566 0.106 0.01889
[2,] -0.1914 -0.175 -0.00868
[3,] -0.3120 -0.131 0.08531
standard error
[,1] [,2] [,3]
[1,] 0.0924 0.0876 0.0938
[2,] 0.0939 0.0890 0.0953
[3,] 0.1038 0.0984 0.1055
Residuals cov-mtx:
[,1] [,2] [,3]
[1,] 0.28244420 0.02654091 0.07435286
[2,] 0.02654091 0.29158166 0.13948786
[3,] 0.07435286 0.13948786 0.35696571
det(SSE) = 0.02258974
AIC = -3.502259
BIC = -3.094982
HQ = -3.336804
Ljung-Box Statistics:
m Q(m) df p-value
[1,] 1.000 0.816 -9.000 1.00
[2,] 2.000 3.978 0.000 1.00
[3,] 3.000 16.665 9.000 0.05
[4,] 4.000 35.122 18.000 0.01
[5,] 5.000 38.189 27.000 0.07
[6,] 6.000 41.239 36.000 0.25
[7,] 7.000 47.621 45.000 0.37
[8,] 8.000 61.677 54.000 0.22
[9,] 9.000 67.366 63.000 0.33
[10,] 10.000 76.930 72.000 0.32
[11,] 11.000 81.567 81.000 0.46
[12,] 12.000 93.112 90.000 0.39
[13,] 13.000 105.327 99.000 0.31
[14,] 14.000 116.279 108.000 0.28
[15,] 15.000 128.974 117.000 0.21
[16,] 16.000 134.704 126.000 0.28
[17,] 17.000 138.552 135.000 0.40
[18,] 18.000 146.256 144.000 0.43

Contenido
VARMA(p,q)
VAR(p)
Causalidad de Granger
Invertibilidad
Estacionariedad
Estimación, selección de modelos y diagnósticos
VMA(q)
El modelo VMA(q): \[X_{t}=\mu+a_t -\theta_1 a_{t-1}-...-\theta_q a_{t-q}\] donde \(\mu\) es un vector de dimensión \(k\) que es su media, \(\theta_i\) matrices \(k \times k\) para \(i=1,...,q\), \(\theta_q \neq 0\) y \(a_t\) es una secuencia de i.i.d. vectores aleatorios con media 0 y matriz de covariancias \(\Sigma_a\), que es definida positiva.
Su representación con el operador de medias móviles. \[X_{t}=\mu + \theta(B) a_{t}\] donde \(\theta(B)=I_k- \theta_1 B-...- \theta_q B^q\) es el operador de medias móviles.
De la misma forma, se puede considerar su versión centrada: \[X_{t}-\mu = \theta(B) a_{t}\]
El VMA(q) siempre es estacionario pero no siempre es invertible.
La condición de invertibilidad se deriva muy similar al caso de estacionariedad de VAR(p).
Un VMA(q) es invertible si todas las soluciones de \(|\theta(B)|=0\) estén fuera del círculo unitario.
\[\phi(B) X_{t} = \phi_0 + \theta(B) a_{t}\] donde
\(\phi(B)=I- \phi_1 B-...- \phi_p B^p\) es el operador autorregresivo y
\(\theta(B)=I-\theta_1 B-...- \theta_q B^q\) es el operador de medias móviles.
La condición de estacionariedad es que todas las soluciones de \(|\phi(B)|=0\) estén fuera del círculo unitario.
La condición de invertibilidad es que todas las soluciones de \(|\theta(B)|=0\) estén fuera del círculo unitario.
El VARMA tiene problemas de identificabilidad debido a que su representación no es única. Se requieren adicionalmente dos condiciones:
Si \(u(B)\) es factor común por izquierda de \(\phi(B)\) y \(\theta(B)\), entonces \(|u(B)|\) es constante no nula.
El rango de la matriz conjunta \(\left[ \phi_p, \theta_q \right]\) es \(k\), la dimensión de la serie multivariada \(X_t\).
MTSmarimaPara replicar los ejemplos de esta presentación, necesitan estos paquetes: