
Contenido
Introducción
Los Modelos Lineales Gaussianos
Representación en espacio de estados de ARIMA
Filtro de Kalman
Algunas estructuras del modelo
Estimaciones de máxima verosimilitud
Extensiones de los modelos de espacios de estados
Propuesto inicialmente por Kalman (1960) y Kalman (1961).
Al inicio, el objetivo del modelo fue en el contexto de estudiar la posición o el estado \(x_t\) de una nave espacial por medio de una ecuación de estado, y una variable observada \(y_t\) relacionada al estado de la nave.
Es una clase de modelos muy amplia que incluye diferentes modelos estudiados (ARIMA, modelos de descomposición, etc.).
Enfocamos en los Modelos de Espacio de Estados Lineales Gaussianos o Modelos Lineales Dinámicos (DLM).
Contenido
Introducción
Los Modelos Lineales Gaussianos
Representación en espacio de estados de ARIMA
Filtro de Kalman
Algunas estructuras del modelo
Estimaciones de máxima verosimilitud
Extensiones de los modelos de espacios de estados
Un proceso latente (o oculto) \(x_t\): Se supone que es un proceso de Markov, i.e. \[P(x_t|x_{t-1},x_{t-2},...)=P(x_t|x_{t-1})\]
Un proceso de observaciones \(y_t\): Se supone que son independientes dado los estados \(x_t\).
Fuente: Shumway & Stoffer (2017)
El modelo de espacio de estados lineal Gaussiano está definido por:
1- La ecuación de estados: \(~~~~~~~~~~~~~x_{t}=\Phi x_{t-1} + w_{t},\)
donde las variables de estado \(x_t\) son vectores \(p \times 1\) autoregresivos de orden 1,
\(w_t\) es un vector \(p\times 1\) tal que \(w_t \overset{iid}{\sim} N_p(0,Q)\). Suponga que \(x_0 \sim N_p(\mu_0,\Sigma_0)\).
2- La ecuación de observaciones: \(~~~~y_{t}=A_t x_{t} + v_{t},\)
donde \(A_t\) es una matriz \(q\times q\) (matriz de observación o medición), \(y_t\) es un vector \(q \times 1\) con \(q \leq p\). \(v_t\) es ruido \(q\times 1\) tal que \(v_t \overset{iid}{\sim} N_q(0,R)\).
Dos series temporales de temperaturas globales de 1880 a 2015.
Estas dos series muestran mediciones climáticas de un proceso de estado, que es la temperatura “real” de la tierra.

\[\begin{bmatrix}Y_{1,t}\\ Y_{2,t} \end{bmatrix} = \begin{bmatrix}1\\ 1 \end{bmatrix} X_{t} + \begin{bmatrix}v_{1,t}\\ v_{2,t} \end{bmatrix}\]
donde \(v_t \overset{iid}{\sim} N_2(0,R)\) con “alguna correlación instantánea” de los ruidos de observación.
\[R=\begin{bmatrix} r_{11} & r_{12}\\ r_{21} & r_{22}\end{bmatrix}\]
Note que el modelo anterior se puede incluir variables exógenas: \[\left. \begin{eqnarray} x_{t}&=&\Phi x_{t-1} + \Upsilon u_t + w_{t}, \\ y_{t}&=&A_t x_{t}+ \Gamma u_t + v_{t} \end{eqnarray}\right.\] donde
El ejemplo anterior especifica que \(\Upsilon=\delta\), \(\Gamma=0\) y \(u_t=1\).
La representación de los modelos de espacio de estados es elegante ya que incluye una variedad de modelos diferentes. Sin embargo, la estimación de los parámetros desconocidos podría tener divergencia si no especifica bien sus valores iniciales.
Contenido
Introducción
Los Modelos Lineales Gaussianos
Representación en espacio de estados de ARIMA
Filtro de Kalman
Algunas estructuras del modelo
Estimaciones de máxima verosimilitud
Extensiones de los modelos de espacios de estados
Sea \(\left\lbrace Y_t \right\rbrace\) un proceso AR(1) estacionario,
\[Y_t=\phi_1 Y_{t-1}+a_t\] con su representación de un modelo lineal,o \(MA(\infty)\): \[Y_t=\sum_{j=0}^{\infty} \phi_1^j a_{t-j}\]
\[Y_t=\phi_1 Y_{t-1}+\phi_2 Y_{t-2}+a_t\]
\[Y_t = \begin{bmatrix} 1 & 0 \end{bmatrix} X_{t}\] \[X_{t}= \begin{bmatrix} Y_{t} \\ \phi_2 Y_{t-1} \end{bmatrix}=\begin{bmatrix} \phi_1 & 1 \\ \phi_2 & 0 \end{bmatrix} X_{t-1}+\begin{bmatrix} a_{t} \\ 0 \end{bmatrix},\]
\[Y_t = \begin{bmatrix} 1 & 0 \end{bmatrix} X_{t}\] \[X^*_{t}= \begin{bmatrix} Y_{t} \\ Y_{t-1} \end{bmatrix}=\begin{bmatrix} \phi_1 & \phi_2 \\ 1 & 0 \end{bmatrix} X^*_{t-1}+\begin{bmatrix} a_{t} \\ 0 \end{bmatrix},\]
\[Y_t= a_t-\theta_1 a_{t-1}\]
\[Y_t = \begin{bmatrix} 1 & -\theta_1 \end{bmatrix} X_{t}\] \[X_{t}= \begin{bmatrix} a_{t} \\ a_{t-1} \end{bmatrix}=\begin{bmatrix} 0 & 0 \\ 1 & 0 \end{bmatrix} X_{t-1}+\begin{bmatrix} a_{t} \\ 0 \end{bmatrix},\]
Contenido
Introducción
Los Modelos Lineales Gaussianos
Representación en espacio de estados de ARIMA
Filtro de Kalman
Algunas estructuras del modelo
Estimaciones de máxima verosimilitud
Extensiones de los modelos de espacios de estados
En la práctica, uno de los intereses es estimar el valor de \(X_t\) dado los datos observados \(Y_{1:s}=\left\lbrace Y_1,...,Y_s \right\rbrace\).
La estimación de \(X_t\) se puede clasificar en 3 situaciones:
Denotamos \[X_t^s=E(X_t|Y_{1:s})=E(X_t|Y_{1},...,Y_{s}),\] \[P_{t_1,t_2}^s=E\left[(X_{t_1}-X_{t_1}^s)(X_{t_2}-X_{t_2}^s)'\right], ~~\text{y}\] \[P_{t}^s=E\left[(X_{t}-X_{t}^s)(X_{t}-X_{t}^s)'\right]\]
Propiedad: Para el modelo de espacio de estados especificado anteriormente, con las condiciones iniciales \(X_0^0=\mu_0\) y \(P_0^0=\Sigma_0\), y para \(t=1,...,n\), se tiene que (para predicción) \[\left. \begin{eqnarray} X_t^{t-1}=\Phi X_{t-1}^{t-1}+\Upsilon u_t \\ P_t^{t-1}=\Phi P_{t-1}^{t-1} \Phi'+Q \end{eqnarray}\right.\] y (para filtración)
\[\left. \begin{eqnarray} X_t^{t}&=&X_t^{t-1}+K_t \left( Y_t - A_t X_{t}^{t-1} - \Gamma u_t \right), \\ P_t^{t}&=& \left[ I-K_t A_t \right] P_{t}^{t-1}, \end{eqnarray}\right.\]
donde \(K_t=P_t^{t-1} A_t' \left[ A_t P_t^{t-1} A_t' + R \right]^{-1}\) es llamado la ganancia de kalman.
Si se interesa por la predicción para \(t>n\), se puede obtener recursivamente con las condiciones iniciales \(X_n^n=\mu_n\) y \(P_n^n\).
Como consecuencia, se puede obtener el error de predicción: \[\epsilon_t=Y_t-E(Y_t|Y_{1:t-1})=Y_t-A_t X_t^{t-1}+\Gamma u_t\] y su matriz de variancia-covariancia es dada por \[\Sigma_t:=Var(\epsilon_t)=Var\left[ A_t (X_t-X_t^{t-1})+ v_t \right]=A_t P_t^{t-1}A_t'+ R\] para \(t=1,...,n\).
Propiedad: Para el modelo de espacio de estados especificado anteriormente, con las condiciones iniciales \(X_0^0=\mu_n\) y \(P_n^n\), y para \(t=n,n-1,...,1\), se tiene que
\[\left. \begin{eqnarray} X_{t-1}^{n}&=&X_{t-1}^{t-1}+J_{t-1} \left( X_{t}^{n}-X_{t}^{t-1} \right), \\ P_{t-1}^{n}&=& P_{t-1}^{t-1}+ J_{t-1} \left( P_{t}^{n} -P_{t}^{t-1} \right)J_{t-1}' \end{eqnarray}\right.\]
donde \(J_{t-1}=P_{t-1}^{t-1} \Phi' \left[ P_{t}^{t-1} \right]^{-1}\).
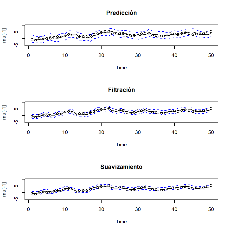
\[\left. \begin{eqnarray} \mu_t& = & \mu_{t-1} +w_t \\ Y_t& = & \mu_t +v_t \\ \end{eqnarray}\right.\] donde \(w_t \overset{iid}{\sim}N(0,\sigma_w^2)\) y \(v_t \overset{iid}{\sim}N(0,\sigma_v^2)\) son independientes. Es decir, la ecuación de estados consiste en una caminata aleatoria y la ecuación de observaciones consiste en un componente de tendencia y un ruido.
Para predicción: \(\mu_t^{t-1}\pm 2 \sqrt{P_t^{t-1}}\)
Para filtración: \(\mu_t^{t}\pm 2 \sqrt{P_t^{t}}\)
Para suavizamiento: \(\mu_t^{n}\pm 2 \sqrt{P_t^{n}}\)

Contenido
Introducción
Los Modelos Lineales Gaussianos
Representación en espacio de estados de ARIMA
Filtro de Kalman
Algunas estructuras del modelo
Estimaciones de máxima verosimilitud
Extensiones de los modelos de espacios de estados
\[\left. \begin{eqnarray} Y_t& = & \mu_t & && +\epsilon_t \\ \mu_t & = & \mu_{t-1} &+ & \beta_{t-1} &+\eta_t \\ \beta_{t} &= & & & \beta_{t-1} &+\xi_t \end{eqnarray}\right.\] Su representación de espacio de estados es:
\[Y_t=\begin{bmatrix} 1 & 0 \end{bmatrix} \begin{bmatrix} \mu_{t} \\ \beta_{t} \end{bmatrix}+ \epsilon_t,\] \[\begin{bmatrix} \mu_{t} \\ \beta_{t} \end{bmatrix}=\begin{bmatrix} 1 & 1 \\ 0 & 1 \end{bmatrix} \begin{bmatrix} \mu_{t-1} \\ \beta_{t-1} \end{bmatrix}+\begin{bmatrix} \eta_t \\ \xi_{t} \end{bmatrix},\]
Contenido
Introducción
Los Modelos Lineales Gaussianos
Representación en espacio de estados de ARIMA
Filtro de Kalman
Algunas estructuras del modelo
Estimaciones de máxima verosimilitud
Extensiones de los modelos de espacios de estados
De acuerdo a los cálculos de las innovaciones \(\epsilon_1,...,\epsilon_n\) \[\epsilon_t=Y_t-A_t X_t^{t-1}-\Gamma u_t,\] y las matrices de covariancia \[\Sigma_t=A_t P_t^{t-1}A_t' + R\]
La función de log-verosimilitud (negativa) es dada por \[- \ell_Y (\Theta)=\frac{1}{2} \sum_{t=1}^n \ln|\Sigma_t(\Theta)|+\frac{1}{2} \sum_{t=1}^n \epsilon_t(\Theta)' \Sigma_t(\Theta)^{-1} \epsilon_t(\Theta)\]
Dada la complejidad de dicha función, en la práctica se realiza la minimización utilizando métodos numéricos como Newton-Raphson.
Sin embargo, por la flexibilidad de un modelo de espacio de estados, muchos problemas de optimización (mínimo local o divergencia) pueden ocurrir.
Contenido
Introducción
Los Modelos Lineales Gaussianos
Representación en espacio de estados de ARIMA
Filtro de Kalman
Algunas estructuras del modelo
Estimaciones de máxima verosimilitud
Extensiones de los modelos de espacios de estados
\[\left. \begin{eqnarray} x_{t}&=&\Phi_t x_{t-1} + \Upsilon_t u_t + w_{t}, \\ y_{t}&=&A_t x_{t}+ \Gamma_t u_t + v_{t} \end{eqnarray}\right.\] \(w_t \overset{iid}{\sim} N_q(0,Q_t)\), \(v_t \overset{iid}{\sim} N_q(0,R_t)\).
Incluso la extensión del modelo Gaussiano a un modelo de familia exponencial.
En estos casos, la estimación Bayesiana es más flexible para obtener las estimaciones del modelo.
\[\begin{bmatrix}Y_t^{(1)}\\ Y_t^{(2)} \end{bmatrix} = \begin{bmatrix}A_t^{(1)}\\ A_t^{(2)} \end{bmatrix} X_{t} +\begin{bmatrix}v_{t}^{(1)}\\ v_{t}^{(2)} \end{bmatrix},\] donde \(Y_t^{(1)}\) es un vector observable \((q_{1t} \times 1)\) y \(Y_t^{(2)}\) es un vector no observable \((q_{2t} \times 1)\), de modo que \(q=q_{1t}+q_{2t}\)
\[\begin{bmatrix}Y_t^{(1)}\\ Y_t^{(2)} \end{bmatrix} = \begin{bmatrix}A_t^{(1)}\\ 0 \end{bmatrix} X_{t} +\begin{bmatrix}v_{t}^{(1)}\\ v_{t}^{(2)} \end{bmatrix}.\]

Utilizando el enfoque de modelo de espacio de estados, se puede considerar la ecuación de estados:
\[\begin{bmatrix}X_{1,t}\\ X_{2,t}\\ X_{3,t} \end{bmatrix} = \begin{bmatrix}\phi_{11} & \phi_{12} & \phi_{13} \\ \phi_{21} & \phi_{22} & \phi_{23} \\ \phi_{31} & \phi_{32} & \phi_{33} \end{bmatrix} \begin{bmatrix}X_{1,t-1}\\ X_{2,t-1} \\ X_{3,t-1} \end{bmatrix} +\begin{bmatrix}w_{1,t}\\ w_{2,t}\\ w_{3,t} \end{bmatrix}\]
Y la ecuación de observaciones:
\[\begin{bmatrix}Y_{1,t}\\ Y_{2,t}\\ Y_{3,t} \end{bmatrix} = A_t \begin{bmatrix}X_{1,t}\\ X_{2,t} \\ X_{3,t} \end{bmatrix} +\begin{bmatrix}v_{1,t}\\ v_{2,t}\\ v_{3,t} \end{bmatrix}\]
Note que la ecuación del estado tiene forma de AR(1), pero habíamos visto que cualquier AR(p) puede ser representado por AR(1).
Por ejemplo un AR(2) puede ser representado por la ecuación de estados
\[\underset{(2p \times 1)}{\begin{bmatrix}X_{t}\\ X_{t-1} \end{bmatrix}} = \underset{(2p \times 2p)}{\begin{bmatrix}\Phi_{1} & \Phi_{2} \\ I & 0 \end{bmatrix}} \underset{(2p \times 1)}{\begin{bmatrix}X_{t-1}\\ X_{t-2} \end{bmatrix}} +\underset{(2p \times 1)}{\begin{bmatrix}w_{1,t}\\ w_{0} \end{bmatrix}}\]
Y la ecuación de observaciones:
\[\underset{(q \times 1)}{Y_{t}} = \underset{(q \times 2p)}{\begin{bmatrix}I & 0\end{bmatrix}} \underset{(2p \times 1)}{\begin{bmatrix}X_{t}\\ X_{t-1} \end{bmatrix}} + \underset{(q \times 1)}{v_{t}}\]